哈尔滨体育学院2024年运动训练、武术与民族传统体育专业拟录取情况公示
按照《体育总局办公厅 教育部办公厅关于印发<2024年普通高等学校运动训练、武术与民族传统体育专业招生管理办法>的通知》(体科字〔2023〕188号)及《哈尔滨体育学院2024年运动训练、武术与民族传统体育专业招生简章》等文件规定,经学校招生领导小组研究决定,现将我校2024年运动训练、武术与民族传统体育专业拟录取情况公示如下:
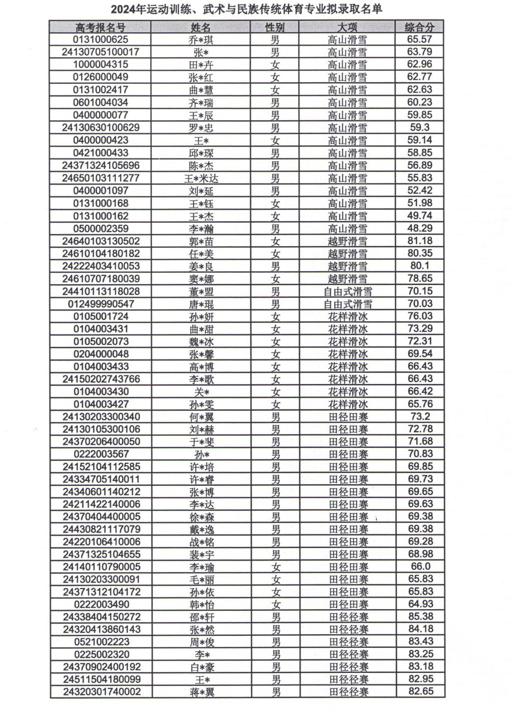
一、我校最低录取控制分数线为文化成绩180分、体育专项成绩40分,依据《哈尔滨体育学院2024年运动训练、武术与民族传统体育专业招生简章》第八项“录取原则”,根据已公布的分项目招生计划,按照综合分由高到低录取。
二、我校运动训练专业计划招生445人(含4名保送录取优秀运动员,冰壶1人、花样滑冰1人、冰球2人)、武术与民族传统体育专业计划招生85人,已在第一志愿录取完成,不再进行第二志愿录取。正式录取名单以教育部、国家体育总局及各省招生考试机构审核通过为准。
三、如考生弄虚作假,经查实,取消其当年运动训练、武术与民族传统体育专业录取资格,已入学者,取消其入学资格,并依据《国家教育考试违规处理办法》(教育部33号令)处理。
公示期5个工作日。公示期间如有异议,请实名书面提出申请,并将申请发送至邮箱htzsjyc@163.com。
咨询电话:0451-82766447
申诉电话:0451-82700741









